某水域经5次监测溶解氧的质量浓度为:5.6mg/L、6.1mg/L、4.5mg/L、4.8mg/L、5.8mg/L,用内梅罗法计算溶解氧的统计质量浓度值是...

作者: tihaiku 人气: - 评论: 0
问题 某水域经5次监测溶解氧的质量浓度为:5.6mg/L、6.1mg/L、4.5mg/L、4.8mg/L、5.8mg/L,用内梅罗法计算溶解氧的统计质量浓度值是()mg/L。
选项 A:5.36 B:4.95 C:5.12 D:5.74
答案 B
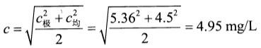
解析 5个样本的平均值是5.36mg/L,实测极值是4.5mg/L(注意:对溶解氧来说不能取最大值,因为溶解氧的值越大表示水质越好),则:

相关内容:水域,监测,质量,浓度,用内,梅罗,统计

猜你喜欢

发表评论
更多 网友评论0 条评论)
暂无评论

访问排行

Copyright © 2012-2014 恰考网 Inc. 保留所有权利。 Powered by tikuer.com

页面耗时0.0418秒, 内存占用1.04 MB, Cache:redis,访问数据库17次