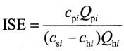
水环境影响评价水质参数计算公式中Qhi是指()。A:含水污染物i的废水排放量 B:河流中游来水流量 C:含水污染物i的废水排放总量 D:河流上游来水流量

作者: tihaiku 人气: - 评论: 0
问题 水环境影响评价水质参数计算公式中Qhi是指()。
选项 A:含水污染物i的废水排放量 B:河流中游来水流量 C:含水污染物i的废水排放总量 D:河流上游来水流量
答案 D
解析

猜你喜欢

发表评论
更多 网友评论0 条评论)
暂无评论

访问排行

Copyright © 2012-2014 恰考网 Inc. 保留所有权利。 Powered by tikuer.com

页面耗时0.0300秒, 内存占用1.03 MB, Cache:redis,访问数据库19次