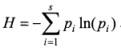
据《环境影响评价技术导则—生态影响》,公式用以表达()。A:丰富度指数 B:辛普森多样性指数 C:优势度指数 D:香农-威纳指数

作者: tihaiku 人气: - 评论: 0
问题 据《环境影响评价技术导则—生态影响》,公式用以表达()。
选项 A:丰富度指数 B:辛普森多样性指数 C:优势度指数 D:香农-威纳指数
答案 D
解析 香农-威纳指数用以表达生物多样性的一种方法,在香农一威纳多样性指数计算公式中,包含两个因素影响生物多,样性的大小:①种类数目,即丰富度;②种类中个体分配上的平均性或均匀性。种类数目多,可增加多样性;同样,种类之间个体分配的均匀性增加也会使多样性提高。

相关内容:环境影响评价技术导则—生态影响,公式,指数,辛普森,多样性,优势,香农,威纳

猜你喜欢

发表评论
更多 网友评论0 条评论)
暂无评论

访问排行

Copyright © 2012-2014 恰考网 Inc. 保留所有权利。 Powered by tikuer.com

页面耗时0.0396秒, 内存占用1.04 MB, Cache:redis,访问数据库19次