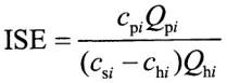
公式中,Chi是指()A:含水污染物i的排放浓度 B:评价河段含水污染物i的浓度 C:含水污染物i的地表水水质标准 D:含水污染物i的废水排放量

作者: tihaiku 人气: - 评论: 0
问题 公式中,Chi是指()
选项 A:含水污染物i的排放浓度 B:评价河段含水污染物i的浓度 C:含水污染物i的地表水水质标准 D:含水污染物i的废水排放量
答案 B
解析

相关内容:公式,污染物,排放,浓度,河段,地表水,水质,标准,废水,排放量

猜你喜欢

发表评论
更多 网友评论0 条评论)
暂无评论

访问排行

Copyright © 2012-2014 恰考网 Inc. 保留所有权利。 Powered by tikuer.com

页面耗时0.0421秒, 内存占用1.04 MB, Cache:redis,访问数据库19次