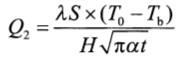
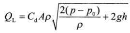
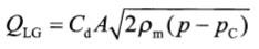
下列公式()是用来计算液体泄漏速率的。A: B: C: D:

作者: tihaiku 人气: - 评论: 0
问题 下列公式()是用来计算液体泄漏速率的。
选项 A: B: C: D:
答案 A
解析 选项B是气体泄漏速度计算公式,选项C是两相流泄漏速度计算公式,选项D是热量蒸发速度的估算公式。

相关内容:公式,液体,速率

猜你喜欢

发表评论
更多 网友评论0 条评论)
暂无评论

访问排行

Copyright © 2012-2014 恰考网 Inc. 保留所有权利。 Powered by tikuer.com

页面耗时0.0506秒, 内存占用1.04 MB, Cache:redis,访问数据库20次