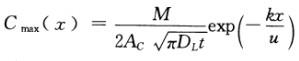
某河流上游发生可溶性化学品泄漏事故,假设河流流量恒定,化学品一阶衰减系数k=0.27d,其下游χ处的该化学品浓度峰值可用估算,事故发生24h后下游某处实测...

作者: tihaiku 人气: - 评论: 0
问题 某河流上游发生可溶性化学品泄漏事故,假设河流流量恒定,化学品一阶衰减系数k=0.27d,其下游χ处的该化学品浓度峰值可用估算,事故发生24h后下游某处实测得到浓度峰值为1000mg/L,再经72h到达下游某断面峰值浓度为()。
选项 A:50mg/L B:250mg/L C:274mg/L D:500mg/L
答案 C
解析 再经72h到达下游某断面峰值浓度Cmax=(1/4)1/2*exp(-4×0.2)/exp(-1*0.2)*1000=500*exp(-3*0.2)=274(mg/L)。

相关内容:河流,上游,可溶性,化学品,事故,假设,流量,一阶,衰减,系数,下游,浓度,峰值,估算,实测

猜你喜欢

发表评论
更多 网友评论0 条评论)
暂无评论

访问排行

Copyright © 2012-2014 恰考网 Inc. 保留所有权利。 Powered by tikuer.com

页面耗时0.0263秒, 内存占用1.04 MB, Cache:redis,访问数据库17次