设计流量Q条件下的河段水动力参数,一般根据实测水文资料率定的α1、β1、α2、β2、α3&beta...

作者: tihaiku 人气: - 评论: 0
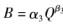
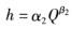
问题 设计流量Q条件下的河段水动力参数,一般根据实测水文资料率定的α1、β1、α2、β2、α3β3参数,按下列经验公式估计:断面平均流速:;断面平均水深:;断面水面宽:。当采用零维、一维、二维稳态水质模型预测设计流量条件下的河流水质浓度时,三个模型至少分别需要()上述参数。
选项 A:0个、2个、4个 B:1个、2个、4个 C:1个、3个、5个 D:2个、4个、6个
答案 A
解析 当采用水质模型预测设计流量条件下的河流水质浓度时,零维稳态水质模型需要知道浓度c和流量Q,即题中所给的6个参数均不需要;一维稳态水质模型需要知道河流流速v和横断面面积a,由题中所给的α1、β1可得到断面平均流速v,再由A=Q/v即可求得A,故一维模型至少需要两个参数,即α1、β1;二维稳态水质模型需要知道河流流速v和断面平均水深h,所以至少需要4个参数,即α1、β1、α2、β2

相关内容:设计,流量,河段,动力,参数,根据,实测,水文,资料率,beta...

猜你喜欢

发表评论
更多 网友评论0 条评论)
暂无评论

访问排行

Copyright © 2012-2014 恰考网 Inc. 保留所有权利。 Powered by tikuer.com

页面耗时0.0433秒, 内存占用1.05 MB, Cache:redis,访问数据库19次