采用两点法估算河道的一阶耗氧系数。上游断面COD实测浓度为30mg/L,下游断面COD实测浓度25mg/L,上游断面来水到达下游断面时间为1天,则耗氧系数...

作者: tihaiku 人气: - 评论: 0
问题 采用两点法估算河道的一阶耗氧系数。上游断面COD实测浓度为30mg/L,下游断面COD实测浓度25mg/L,上游断面来水到达下游断面时间为1天,则耗氧系数估值为()。
选项 A:0.10/d B:0.18/d C:0.21/d D:0.83/d
答案 B
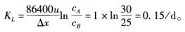
解析 根据耗氧系数Ki的单独估值方法中的两点法计算如下:

相关内容:估算,河道,一阶,耗氧,系数,上游,断面,实测,浓度,下游,时间

猜你喜欢

发表评论
更多 网友评论0 条评论)
暂无评论

访问排行

Copyright © 2012-2014 恰考网 Inc. 保留所有权利。 Powered by tikuer.com

页面耗时0.0403秒, 内存占用1.05 MB, Cache:redis,访问数据库20次