在点声源声场中,和声屏障衰减有关的因素有()。A:声程差 B:声波频率 C:声屏障高度 D:地面特征

作者: tihaiku 人气: - 评论: 0
问题 在点声源声场中,和声屏障衰减有关的因素有()。
选项 A:声程差 B:声波频率 C:声屏障高度 D:地面特征
答案 ABCD
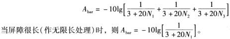
解析 位于声源和预测点之间的实体障碍物,如围墙、建筑物、土坡或地堑等起声屏障作用,从而引起声能量的较大衰减。在环境影响评价中,可将各种形式的屏障简化为具有一定高度的薄屏障,定义δ为声程差,N=2δ/λ为菲涅尔数,其中λ为声波波长。首先计算传播路径的声程差δ1、δ2、δ3和相应的菲涅尔数N1、N2、N3声屏障引起的衰减按下式计算:

相关内容:声源,声场,和声,屏障,衰减,有关,声程,声波,频率,高度,地面,特征

猜你喜欢

发表评论
更多 网友评论0 条评论)
暂无评论

访问排行

Copyright © 2012-2014 恰考网 Inc. 保留所有权利。 Powered by tikuer.com

页面耗时0.0350秒, 内存占用1.05 MB, Cache:redis,访问数据库20次