某单位职员在健身活动中举行乒乓球比赛,每个选手都要和其他选手各赛一场,一共120场比赛,则该单位参加人数是( )人。 A.18 B.16 C.15...

作者: rantiku 人气: - 评论: 0
问题 某单位职员在健身活动中举行乒乓球比赛,每个选手都要和其他选手各赛一场,一共120场比赛,则该单位参加人数是( )人。 A.18 B.16 C.15 D.14
选项
答案 B
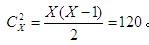
解析 本题考查的是排列组合知识。假设总共有X人,因为每两个人要进行一场比赛,所以应该用组合公式: 。此时利用代入排除法,只有X=16时满足条件。故正确答案为B。

猜你喜欢

发表评论
更多 网友评论0 条评论)
暂无评论
错误啦!

错误信息

  • 消息: [程序异常] : MISCONF Redis is configured to save RDB snapshots, but it's currently unable to persist to disk. Commands that may modify the data set are disabled, because this instance is configured to report errors during writes if RDB snapshotting fails (stop-writes-on-bgsave-error option). Please check the Redis logs for details about the RDB error.
  • 文件: /twcms/kongphp/cache/cache_redis.class.php
  • 位置: 第 85 行
    <?php echo 'KongPHP, Road to Jane.'; ?>