假设地球上新生成的资源的增长速度是一定的,照此推算,地球上的资源可供110亿人生活90年,或者可供90亿人生活210年。为了使人类能够不断繁衍,那么地球最...

作者: rantiku 人气: - 评论: 0
问题 假设地球上新生成的资源的增长速度是一定的,照此推算,地球上的资源可供110亿人生活90年,或者可供90亿人生活210年。为了使人类能够不断繁衍,那么地球最多能养活多少亿人?( ) A. 70 B. 75 C. 80 D. 100
选项
答案 B
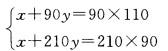
解析 设地球的原始资源可供x亿人生存一年,每年增长的资源可供y亿人生存一年,根据题意可得: 解得y =75,故为了使人类能够不断繁衍,那么地球最多能养活75亿人。

猜你喜欢

发表评论
更多 网友评论0 条评论)
暂无评论

访问排行

Copyright © 2012-2014 恰考网 Inc. 保留所有权利。 Powered by tikuer.com

页面耗时0.0385秒, 内存占用1.03 MB, Cache:redis,访问数据库19次