妈妈、姐姐、妹妹三人现在的年龄和是65岁。当妈妈的年龄是姐姐的年龄的3倍时,妹妹是6岁;当姐姐的年龄是妹妹的年龄的2倍时,妈妈的年龄是32岁。问:妹妹现在...

作者: rantiku 人气: - 评论: 0
问题 妈妈、姐姐、妹妹三人现在的年龄和是65岁。当妈妈的年龄是姐姐的年龄的3倍时,妹妹是6岁;当姐姐的年龄是妹妹的年龄的2倍时,妈妈的年龄是32岁。问:妹妹现在的年龄是多少岁?( ) A. 10 B. 11 C. 14 D. 16
选项
答案 B
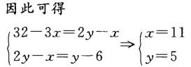
解析 设妹妹6岁时,姐姐的年龄为x岁,则此时妈妈的年龄为3x岁;设妈妈年龄为32岁时,妹妹年龄为y岁,则此时姐姐年龄为2y岁,因此可得下表: 因此当妹妹6岁时,姐姐是11岁,妈妈是33岁,此时她们的年龄和为6 + 11 + 33 = 50 (岁),她们现在的年龄和为65岁,(65 —50)÷3 =5,因此妹妹现在的年龄为6 + 5 = 11(岁),正确答案为B。

猜你喜欢

发表评论
更多 网友评论0 条评论)
暂无评论
错误啦!

错误信息

  • 消息: [程序异常] : MISCONF Redis is configured to save RDB snapshots, but it's currently unable to persist to disk. Commands that may modify the data set are disabled, because this instance is configured to report errors during writes if RDB snapshotting fails (stop-writes-on-bgsave-error option). Please check the Redis logs for details about the RDB error.
  • 文件: /twcms/kongphp/cache/cache_redis.class.php
  • 位置: 第 85 行
    <?php echo 'KongPHP, Road to Jane.'; ?>