从一瓶浓度为20%的消毒液中倒出2/5后,加满清水,再倒出2/5,又加满清水,此时消毒液的浓度为()。A.7.2% B.3.2% C.5.0% D.4.8%

作者: rantiku 人气: - 评论: 0
问题 从一瓶浓度为20%的消毒液中倒出2/5后,加满清水,再倒出2/5,又加满清水,此时消毒液的浓度为()。 A.7.2% B.3.2% C.5.0% D.4.8%
选项
答案 A
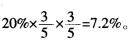
解析 每一次稀释,溶质的量都变为原来的 ,而溶液的量不变,则浓度也变为原来的3/5,因此最后的浓度为

猜你喜欢

发表评论
更多 网友评论0 条评论)
暂无评论

访问排行

Copyright © 2012-2014 恰考网 Inc. 保留所有权利。 Powered by tikuer.com

页面耗时0.0417秒, 内存占用1.03 MB, Cache:redis,访问数据库18次