a与b是两个两位数,它们的和为45,将a放在b的左边,组成一个4位数,则这个4位数恰好为a与b之差的504倍,a=?A.18 B.20 C.25 D.28

作者: rantiku 人气: - 评论: 0
问题 a与b是两个两位数,它们的和为45,将a放在b的左边,组成一个4位数,则这个4位数恰好为a与b之差的504倍,a=? A.18 B.20 C.25 D.28
选项
答案 C
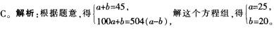
解析

猜你喜欢

发表评论
更多 网友评论0 条评论)
暂无评论

访问排行

Copyright © 2012-2014 恰考网 Inc. 保留所有权利。 Powered by tikuer.com

页面耗时0.0590秒, 内存占用1.02 MB, Cache:redis,访问数据库14次