张大妈去超市二楼购物,如果人不走任由电梯载上需要10秒钟,电梯不动张大妈自己走到二楼需要15秒钟,买完东西后张大妈下楼,如果她下楼的速度是上楼的两倍,但手...

作者: rantiku 人气: - 评论: 0
问题 张大妈去超市二楼购物,如果人不走任由电梯载上需要10秒钟,电梯不动张大妈自己走到二楼需要15秒钟,买完东西后张大妈下楼,如果她下楼的速度是上楼的两倍,但手中提了东西后速度又是空手时的则张大妈在电梯运行的情况下走到一楼需要多少秒钟? A.10 B.6 C.5 D.4
选项
答案 C
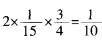
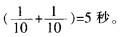
解析 设由一楼到二楼的路程为1,则乘坐电梯的速度是1/10,人走的速度是1/15。根据题干可知人提了东西走下楼的速度是。所以张大妈在电梯运行的情况下走到一楼所需的时间是1÷

猜你喜欢

发表评论
更多 网友评论0 条评论)
暂无评论

访问排行

Copyright © 2012-2014 恰考网 Inc. 保留所有权利。 Powered by tikuer.com

页面耗时0.0371秒, 内存占用1.03 MB, Cache:redis,访问数据库17次