有白球和黑球各3个且白球和黑球中各有两个球分别印有1、2两个号码。现将这6个球放入袋子里,充分搅匀后有放回地每次摸取一个球,则前两次恰好摸到同编号的异色球...

作者: rantiku 人气: - 评论: 0
问题 有白球和黑球各3个且白球和黑球中各有两个球分别印有1、2两个号码。现将这6个球放入袋子里,充分搅匀后有放回地每次摸取一个球,则前两次恰好摸到同编号的异色球的概率为( )。
选项
答案 D
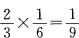
解析 第一次取到有编号的球的概率为,假设取到白色1号球,则第二次必须 取到黑色1号球,其概率为。因此前两次恰好摸到同编号的异色球的概率为。。

猜你喜欢

发表评论
更多 网友评论0 条评论)
暂无评论

访问排行

Copyright © 2012-2014 恰考网 Inc. 保留所有权利。 Powered by tikuer.com

页面耗时0.0464秒, 内存占用1.03 MB, Cache:redis,访问数据库13次