在平面直角坐标系中,点A(m,6)与点B(2.5,n)关于原点对称,则A、B两点之间的距离为()。A.5 B.12 C.13 D.8.5

作者: rantiku 人气: - 评论: 0
问题 在平面直角坐标系中,点A(m,6)与点B(2.5,n)关于原点对称,则A、B两点之间的距离为()。 A.5 B.12 C.13 D.8.5
选项
答案 C
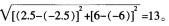
解析 因为点A与点B关于原点对称,所以m=2.5,n=-6。两点的坐标分别为A=(-2.5,6)、B (2.5,-6),则 4、B 两点之间的距离就等于

猜你喜欢

发表评论
更多 网友评论0 条评论)
暂无评论
错误啦!

错误信息

  • 消息: [程序异常] : MISCONF Redis is configured to save RDB snapshots, but it's currently unable to persist to disk. Commands that may modify the data set are disabled, because this instance is configured to report errors during writes if RDB snapshotting fails (stop-writes-on-bgsave-error option). Please check the Redis logs for details about the RDB error.
  • 文件: /twcms/kongphp/cache/cache_redis.class.php
  • 位置: 第 85 行
    <?php echo 'KongPHP, Road to Jane.'; ?>