某次作文竞赛设优胜奖和新人奖。已知:(1)新兴小学和红梅小学两校获奖的人数比为6 :5。(2)新兴小学、红梅小学两校获新人奖的人数总和占两校获奖人数总和的...

作者: rantiku 人气: - 评论: 0
问题 某次作文竞赛设优胜奖和新人奖。已知:(1)新兴小学和红梅小学两校获奖的人数比为6 :5。(2)新兴小学、红梅小学两校获新人奖的人数总和占两校获奖人数总和的60%。 (3)新兴小学、红梅小学两校获新人奖的人数之比为5 : 6。问新兴小学校获新人奖的人数占该校获奖总人数的比重是多少?( ) A. 20% B. 30% C. 50% D. 60%
选项
答案 C
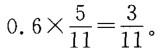
解析 已知新兴小学、红梅小学两校获新人奖的人数之比为5 :6,那么设新兴小学获新人奖的人数为5份,红梅小学为6份。因为新人奖的人数占两校获奖人数总和的60%,那么新兴小学获新人奖的人数占获奖总人数的又因为新兴小学、红梅小学两学校获奖的人数比为6 : 5,所以设总人数为11份,新兴小学得奖的人数占其中6份。可知新兴小学获新人奖者占该校获奖总人数的比重为

猜你喜欢

发表评论
更多 网友评论0 条评论)
暂无评论

访问排行

Copyright © 2012-2014 恰考网 Inc. 保留所有权利。 Powered by tikuer.com

页面耗时0.0725秒, 内存占用1.03 MB, Cache:redis,访问数据库19次