2010年,我国货物进出口总额29728亿美元,比上年增长21. 5%。其中,货物出口 15780 亿美元,比上年增长18.4%;货物进口13948亿美元...

作者: rantiku 人气: - 评论: 0
问题 2010年,我国货物进出口总额29728亿美元,比上年增长21. 5%。其中,货物出口 15780 亿美元,比上年增长18.4%;货物进口13948亿美元,比上年增长25. 6%。 关于我国对主要国家和地区货物进出口的情况,下列说法正确的是( )。 A. 2010年,我国对美国进出口差额(出口减进口)最大 B. 2009年,我国对欧盟的进口额同比增长量最多 C. 2009年,我国对日本进出口总额同比增长速度最慢 D. 2010年,我国对俄罗斯进出口总额同比增长速度最快
选项
答案 D
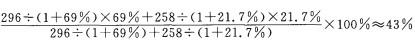
解析 A项,2010年,进出口差额最大的是中国香港,2183-123=2060(亿美元)。B、C两项从材料中推不出,从材料中可以得出2009年我国对主要国家和地区的进口额、 出口额,但无法得出2009年的同比增长量和同比增长速度。前三项均不正确,故可推知D项正确。D项,2010年的进出口总额的总比增长速度一定在出口额同比增长速度和进口额同比增长速度之间,先计算我国对俄罗斯货物进出口总额的同比增长速度为 因此可排除进口额,出口额同比增长速度都小于43%的国家,余下的是东盟、印度、中国台湾,计算可得,我国对它们的货物进出口总额同比增长速度分别为37%、42%、37%。因此,2010年我国对俄罗斯进出口总额同比增长速度最快。本题正确答案为D。

猜你喜欢

发表评论
更多 网友评论0 条评论)
暂无评论

访问排行

Copyright © 2012-2014 恰考网 Inc. 保留所有权利。 Powered by tikuer.com

页面耗时0.0604秒, 内存占用1.03 MB, Cache:redis,访问数据库15次