某城市工业区内一汽车制造厂扩建年加工5万辆汽车车身涂漆车间,生产工艺为:清洗 除油一水清洗一磷化一水清洗一涂底漆一水清洗一干燥一喷中漆一烘干一喷面漆一烘干...

作者: rantiku 人气: - 评论: 0
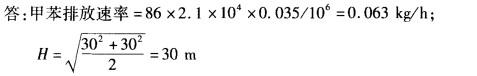
问题 某城市工业区内一汽车制造厂扩建年加工5万辆汽车车身涂漆车间,生产工艺为:清洗 除油一水清洗一磷化一水清洗一涂底漆一水清洗一干燥一喷中漆一烘干一喷面漆一烘干。 清洗除油采用NaOH和合成洗涤剂,磷化使用磷酸锌、硝酸镍,涂底漆使用不含铅的水溶性 涂料,中漆和面漆含甲苯、二甲苯,烘干采用热空气加热方式。生产过程废气污染源主要有 喷漆过程产生的废气喷漆室废气量为8. 6 x 104 m3/h,漆雾浓度680 m#m3,漆雾含甲苯 12 mg/m3,由30米高的排气筒排放,两个烘干室废气量均为2. 1 x 104 m3/h,含甲苯浓度 86 mg/m3,废气采用直接燃烧法处理,净化效率96.5% ,分别由各自30 m高的排气筒排放, 两排气筒相距50 m。生产过程产生的废水有含油废水、磷化废水和喷漆废水,均入汽车制 造厂污水综合处理站处理达标后排入城市污水处理厂,产生的工业固体废物有漆渣、磷化滤 渣,污水处理站的污泥,厂址东侧有一乡镇。 1.给出喷漆室问题及参考答案可采用的漆雾净化方法。(三种即可) 2.计算各烘干室排气筒甲苯排放速率及两个排气筒的等效高度。 3.给出涂漆废水的主要污染因子,列举理由说明本工程污水处理方案是否可行? 4.本工程产生的工业固废中哪些属于危险废物? 5.危险废物拟在厂区临时存放,以下符合危险废物处置原则的有哪些?(限答四项,多 答本题无分) 6.公司拟自建危废焚烧炉,焚烧炉的环境影响评价必须回答的问题是什么?(回答三 项即可)
选项
答案
解析 1.给出喷漆室问题及参考答案可采用的漆雾净化方法。(三种即可) 答:活性炭吸附、水膜喷淋吸收、静电净化。 2.计算各烘干室排气筒甲苯排放速率及两个排气筒的等效高度。 3.给出涂漆废水的主要污染因子,列举理由说明本工程污水处理方案是否可行? (1)主要污染因子有pH、COD,BOD5、SS、磷酸盐、总镍、总锌。 (2)不可行,因为总镍为第一类污染物,其排放浓度必须在车间控制,预处理达标后方 可采用废水综合处理。 4.本工程产生的工业固废中哪些属于危险废物? 漆渣、磷化滤渣、污水站污泥(含有镍重金属)。 5.危险废物拟在厂区临时存放,以下符合危险废物处置原则的有哪些?(限答四项,多 答本题无分) (1)各废物产生点,就地装桶、存放; (2)各废物产生点装桶或袋装送集中贮存设施分类贮存 (3)务实临时堆存场地面,做防渗; (4)废物存放处要防风、防雨、防晒; (5)应选在地质结构稳定的区域,避免建在易遭受自然灾害的地区。 6.公司拟自建危废焚烧炉,焚烧炉的环境影响评价必须回答的问题是什么?(回答三 项即可) (1)选址是否可行; (2)是否符合工业区总体规划; (3)废气排放对周围环境的影响情况。

猜你喜欢

发表评论
更多 网友评论0 条评论)
暂无评论

访问排行

Copyright © 2012-2014 恰考网 Inc. 保留所有权利。 Powered by tikuer.com

页面耗时0.0445秒, 内存占用1.04 MB, Cache:redis,访问数据库17次