某煤化公司位于北方山区富煤地带,周围煤矿密集,在煤洗选生产过程中,产出中煤和煤矸石约1 00万t/a,且周围现存煤矸石约6 00万t/a以上。该公司决定利...

作者: rantiku 人气: - 评论: 0
问题 某煤化公司位于北方山区富煤地带,周围煤矿密集,在煤洗选生产过程中,产出中煤和煤矸石约1 00万t/a,且周围现存煤矸石约6 00万t/a以上。该公司决定利用当地的煤矸石、中煤,安装4台超高压135MW双缸双排气凝汽式直接空冷气轮发电机组和4台480t/h循环流化床锅炉。 该自备电厂设计煤种配比为煤矸石:中煤=22:78,校核煤种的配比为煤矸石:中煤=30:70,根据煤质检测报告,煤矸石、中煤的收到基低位发热量分别为5 050kJ/kg、14 600kJ/kg。锅炉采用炉内脱硫(脱硫效率80%)、五电场静电除尘(效率9 9.9%)后,烟气经2座150m高钢筋混凝土烟囱排入大气(2台炉合用一座烟囱),两座烟囱相距100m。本项目SO2排放总量5 092t/a,烟尘排放总量888t/a,计划通过淘汰本地区污染严重的小焦化厂3 6家,削减SO2排放总量6 000t/a、烟尘排放总量1 000t/a,作为本项目总量来源。 该项目位于北方缺水地区,电厂生活用水采用煤化公司自备井提供的自来水;生产用水有三个备选取水方案:A方案是以项目南15km处的水库为水源;B方案是以项目5km以内附近多家煤矿矿坑排水作为水源;C方案是以项目往南10km处拟建中的城市污水处理厂中水作为水源。上述三个备选水源水质量均满足电厂用水要求。 问题: 1.本项目是否属于资源综合利用电厂?依据是什么? 2.根据本项目备选取水方案,确定推荐的取水方案,并说明原因。 3.请计算该项目两个烟囱的等效烟囱高度和位置。 4.本项目是否符合总量控制要求?
选项
答案
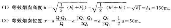
解析 1.(1)本项目属于资源综合利用电厂。 (2)依据:①煤矸石、中煤的收到基低位发热量分别为5 050kJ/kg、14 600kJ/kg。设计煤种配比为煤矸石:中煤=22:78,设计煤种收到基低位发热量=5 050*22%+14 600*78%=12 499(kJ/kg);校核煤种的配比为煤矸石:中煤=30:70,校核煤种收到基低位发热量=5 050*30%+14 600*70%=11 735 (kJ/kg)。②发改环资[2006]1864号《国家鼓励的资源综合利用认定管理办法》要求“利用煤矸石(石煤、油母页岩)、煤泥发电的,必须以燃用煤矸石(石煤、油母页岩)、煤泥为主,其使用量不低于入炉燃料的60%(重量比);利用煤矸石(石煤、油母页岩)发电的入炉燃料应用基低位发热量不大于12 550kJ/kg”。③对照上述要求,本项目100%使用煤矸石和洗中煤,远大于60%的要求;设计煤种、校核煤种应用基低位发热量分别为12 499kJ/kg、11 735kJ/kg,均小于12 550kJ/kg。 2.(1)推荐的取水方案为B,以煤矿矿坑排水作为水源。 (2)理由:城市污水处理厂建成前,方案A水库可做备用水源;城市污水处理厂建成后,优选方案C城市污水处理厂中水做备用水源。 3.两个烟囱的等效烟囱高度为150m,位于两个排气筒连线的中点上、距两个烟囱均为50m。 。 4.(1)本项目符合总量控制要求。 (2)理由:本项目计划通过淘汰本地区污染严重的小焦化厂的区域削减措施来为本项目提供总量来源。本项目SO2排放总量5 092t/a,区域削减SO2排放总量6 000t/a;本项目烟尘排放总量8 8 8t/a,区域削减烟尘排放总量1 000t/a。 SO2和烟尘区域削减量均大于本项目增加量,总量来源落实。

猜你喜欢

发表评论
更多 网友评论0 条评论)
暂无评论

访问排行

Copyright © 2012-2014 恰考网 Inc. 保留所有权利。 Powered by tikuer.com

页面耗时0.0464秒, 内存占用1.04 MB, Cache:redis,访问数据库20次