某厂有一台链条炉(烟气中的烟尘占灰分量的80%) ,装有湿式除尘器,除尘效率为 80% ,用煤量为1.8t/h,煤的灰分含量为 25%,含硫率 2%.该锅...

作者: rantiku 人气: - 评论: 0
问题 某厂有一台链条炉(烟气中的烟尘占灰分量的80%) ,装有湿式除尘器,除尘效率为 80% ,用煤量为1.8t/h,煤的灰分含量为 25%,含硫率 2%.该锅炉 S02 的排放量是: ( )。
选项 A. 32000 mg/s B. 16000 mg/s C. 40000 mg/s D. 64000 mg/s
答案 B
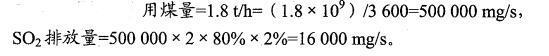
解析

猜你喜欢

发表评论
更多 网友评论0 条评论)
暂无评论

访问排行

Copyright © 2012-2014 恰考网 Inc. 保留所有权利。 Powered by tikuer.com

页面耗时0.0446秒, 内存占用1.03 MB, Cache:redis,访问数据库18次