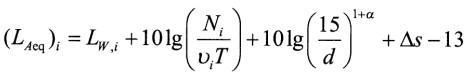
公路交通噪声预测模型中吸收因子α取0.5的条件是()。A:声源或观察者高出地面3mB:声源或观察者高度超过障碍物高度3mC:地面是硬的D:预测...

作者: rantiku 人气: - 评论: 0
问题 公路交通噪声预测模型中吸收因子α取0.5的条件是()。
选项 A:声源或观察者高出地面3m B:声源或观察者高度超过障碍物高度3m C:地面是硬的 D:预测点视线被建筑物、灌木丛、散树林所挡,地面松软或有植被覆盖
答案 D
解析 吸收因子α是一个经验数据,其数值与地面条件有关,如果地面覆盖物是植被或松软结构,预测点视线被建筑物、灌木丛、散树林所挡,α取0.5。如果观测者与公路之间为硬地面,α=0。

猜你喜欢

发表评论
更多 网友评论0 条评论)
暂无评论

访问排行

Copyright © 2012-2014 恰考网 Inc. 保留所有权利。 Powered by tikuer.com

页面耗时0.0428秒, 内存占用1.03 MB, Cache:redis,访问数据库18次