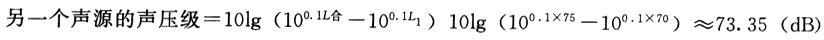
室内有两个噪声源,同时工作时总声压级为75dB,当其中一个声源停止工作时,测得的声压级为70dB,则另一个声源的声压级是()。A:72.23dBB:7...

作者: rantiku 人气: - 评论: 0
问题 室内有两个噪声源,同时工作时总声压级为75dB,当其中一个声源停止工作时,测得的声压级为70dB,则另一个声源的声压级是()。
选项 A:72.23dB B:73.35dB C:74.50dB D:75.86dB
答案 B
解析

猜你喜欢

发表评论
更多 网友评论0 条评论)
暂无评论

访问排行

Copyright © 2012-2014 恰考网 Inc. 保留所有权利。 Powered by tikuer.com

页面耗时0.0328秒, 内存占用1.03 MB, Cache:redis,访问数据库19次