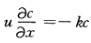
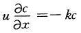
河流水质基本方程适用于()情况。A:溶解态污染物B:恒定均匀流C:混合过程段D:衰减符合一级动力学反应的污染物

作者: rantiku 人气: - 评论: 0
问题 河流水质基本方程适用于()情况。
选项 A:溶解态污染物 B:恒定均匀流 C:混合过程段 D:衰减符合一级动力学反应的污染物
答案 ABD
解析 河流水质基本方程适用于溶解态污染物、恒定均匀流、衰减符合一级动力学反应的污染物、吸附态污染物等情况。

猜你喜欢

发表评论
更多 网友评论0 条评论)
暂无评论

访问排行

Copyright © 2012-2014 恰考网 Inc. 保留所有权利。 Powered by tikuer.com

页面耗时0.0678秒, 内存占用1.03 MB, Cache:redis,访问数据库18次