用一维稳态水质模型预测河流中的氨氮浓度分布,需要的基础数据包括()。A.河流过水断面面积 B.污水排放量、氨氮排放浓度 C.氨氮一阶动力学反应...

作者: rantiku 人气: - 评论: 0
问题 用一维稳态水质模型预测河流中的氨氮浓度分布,需要的基础数据包括()。
选项 A.河流过水断面面积 B.污水排放量、氨氮排放浓度 C.氨氮一阶动力学反应速率 D.河流流量、河流氨氮背景浓度
答案 ABCD
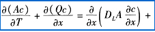
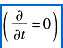
解析 预测河流中氨氮浓度需要河流的水的流速,通过河流过水断面面积可以得知湿周、水力半径,求出水流流速。对于溶解态污染物,当污染物在河流横向方向上达到完全混合后,描述污染物的输移、转化的微分方程为A(SL+SB)+ASK。式中,A表示河流横断面面积;Q表示河流流量;c表示水质组分农度;DL表示综合的纵向离散系数;SL表示直接的点源或非点源强度;SB表示上游区域进入的源强;SK表示动力学转化率,正为源,负为汇。 设定条件:稳态 忽略纵向离散作用,一阶动力学反应速率K,河流无侧旁入流,河流横断面面积为常数,上游来流量Qu,上游来流水质浓度cu,污水排放流量Qe,污染物排放浓度Ce,则上述微分方程的解为:c=c0 exp[-Kx/(86400u)]。式中,c0表示初始浓度,mg/L,计算式为c0=(cuQu+ceQe)/(Qu+Qe),K表示一阶动力学反应速度,l/d;u表示河流流速,m/s;x表示沿河流方向距离,m;c表示位于污染源(排放口)下游x处的水质浓度,mg/L。

猜你喜欢

发表评论
更多 网友评论0 条评论)
暂无评论

访问排行

Copyright © 2012-2014 恰考网 Inc. 保留所有权利。 Powered by tikuer.com

页面耗时0.0385秒, 内存占用1.04 MB, Cache:redis,访问数据库20次