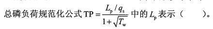
A. 年面积水负荷 B. 水力停留时间 C. 单位面积年总磷负荷 D. 叶绿素

作者: rantiku 人气: - 评论: 0
问题
选项 A. 年面积水负荷 B. 水力停留时间 C. 单位面积年总磷负荷 D. 叶绿素
答案 C
解析

猜你喜欢

发表评论
更多 网友评论0 条评论)
暂无评论

访问排行

Copyright © 2012-2014 恰考网 Inc. 保留所有权利。 Powered by tikuer.com

页面耗时0.0390秒, 内存占用1.03 MB, Cache:redis,访问数据库19次