用两点法估算BOD衰减系数K1,已知河段初始点和末端点的平均BOD5 分别为31 mg/L和17.3 mg/L,河水平均流速1 km/d,河段长度3 km...

作者: rantiku 人气: - 评论: 0
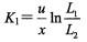
问题 用两点法估算BOD衰减系数K1,已知河段初始点和末端点的平均BOD5 分别为31 mg/L和17.3 mg/L,河水平均流速1 km/d,河段长度3 km,BOD衰减系数K1是()。 A. 1d-1 B. 0.194 d-1 C. 1.5 d-1 D. 2.203 d-1
选项
答案 B
解析 用两点法估算BOD衰减系数K1的公式: 式中:K1——BOD衰减系数,d-1; L1, L2——河段初始点和末端点的平均BOD5; x——河段长度,km; u——河水平均流速,km/d。

猜你喜欢

发表评论
更多 网友评论0 条评论)
暂无评论

访问排行

Copyright © 2012-2014 恰考网 Inc. 保留所有权利。 Powered by tikuer.com

页面耗时0.1132秒, 内存占用1.03 MB, Cache:redis,访问数据库16次