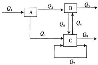
下图为某厂A、B、C三个车间的物料关系,下列物料衡量系统表达正确的是()。AQ1=Q5+Q8BQ3+Q4=Q6+Q8CQ2+Q3=Q5+Q7D...

作者: rantiku 人气: - 评论: 0
问题 下图为某厂A、B、C三个车间的物料关系,下列物料衡量系统表达正确的是()。
选项 AQ1=Q5+Q8 BQ3+Q4=Q6+Q8 CQ2+Q3=Q5+Q7 DQ2+Q3+Q4=Q5+Q6+Q8
答案 A
解析 物料流Q是一种物质平衡体系。系统平衡关系:①把全厂看作一个衡算系统,则Q1=Q5+Q8;②把A车间作为一个衡算系统,则Q1=Q2+Q3;③把B车间作为一个衡算系统,则Q2+Q4=Q5+Q6;④把C车间作为一个衡算系统,则Q3+Q6=Q4+Q8;⑤把B、C车间作为一个衡算系统,则Q2+Q3=Q5+Q8

猜你喜欢

发表评论
更多 网友评论0 条评论)
暂无评论

访问排行

Copyright © 2012-2014 恰考网 Inc. 保留所有权利。 Powered by tikuer.com

页面耗时0.0546秒, 内存占用1.03 MB, Cache:redis,访问数据库17次