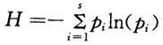
根据《环境影响评价技术导则生态影响》,关于香农-威纳指数公式下列关于参数的说法正确的有()。A:H为群落的多样性指数 B:H为种群的多样性指数 ...

作者: rantiku 人气: - 评论: 0
问题 根据《环境影响评价技术导则生态影响》,关于香农-威纳指数公式 下列关于参数的说法正确的有()。
选项 A:H为群落的多样性指数 B:H为种群的多样性指数 C:pi为样品中属于第i种的个体比例 D:s为种数
答案 ACD
解析 香农-威纳指数主要用以比较不同群落生物多样性大小。H超大,说明该群落生物多样性越高,排除B项。

猜你喜欢

发表评论
更多 网友评论0 条评论)
暂无评论

访问排行

Copyright © 2012-2014 恰考网 Inc. 保留所有权利。 Powered by tikuer.com

页面耗时0.0360秒, 内存占用1.03 MB, Cache:redis,访问数据库13次