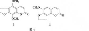
断肠草含有多种毒素,其中两种毒素的结构简式如图l所示。下列有关说法正确的是(  )。A、I和Ⅱ互为同系物 B、I和Ⅱ互为同分异构体 C、I和Ⅱ...

作者: rantiku 人气: - 评论: 0
问题 断肠草含有多种毒素,其中两种毒素的结构简式如图l所示。下列有关说法正确的是(  )。
选项 A、I和Ⅱ互为同系物 B、I和Ⅱ互为同分异构体 C、I和Ⅱ均能在加热条件下与NaOH溶液反应 D、I和Ⅱ各1 mol分别完全燃烧、I的耗氧量比Ⅱ少
答案 C
解析

猜你喜欢

发表评论
更多 网友评论0 条评论)
暂无评论

访问排行

Copyright © 2012-2014 恰考网 Inc. 保留所有权利。 Powered by tikuer.com

页面耗时0.0497秒, 内存占用1.03 MB, Cache:redis,访问数据库17次