右图中的物质都是初中化学常见物质,其中A、B为单质,B是可供动植物呼吸的气体;甲、乙、丙为化合物,甲与过量的丙、乙与过量的丙两两反应的所有产物相同。图中“...

作者: tihaiku 人气: - 评论: 0
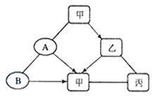
问题 右图中的物质都是初中化学常见物质,其中A、B为单质,B是可供动植物呼吸的气体;甲、乙、丙为化合物,甲与过量的丙、乙与过量的丙两两反应的所有产物相同。图中“—”表示两端的物之间能发生化学反应;“→”表 示物质间存在转化关 系;部分反应物或生成物已略去。 (1)写出B的化学式___________________;写出一种丙的名称___________________。 (2)写出A和甲反应的化学方程式:___________________。 (3)写出乙→甲的化学方程式:___________________。
选项
答案
解析 (1)O2 氢氧化钠(或氢氧化钙等) (2)C+CO2====2CO (3)H2CO3=CO2↑+H2O

相关内容:右图,物质,初中,化学,单质,呼吸,气体,化合物,反应,产物,图中

猜你喜欢

发表评论
更多 网友评论0 条评论)
暂无评论

访问排行

Copyright © 2012-2014 恰考网 Inc. 保留所有权利。 Powered by tikuer.com

页面耗时0.0410秒, 内存占用1.05 MB, Cache:redis,访问数据库18次