标准状况下,气态分子断开1 mol化学键的焓变称为键焓。已知H—H、H—O和0=0键的键焓AH分别为436 kJ/tool、463 kJ/mol和495 ...

作者: tihaiku 人气: - 评论: 0
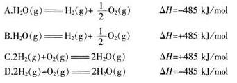
问题 标准状况下,气态分子断开1 mol化学键的焓变称为键焓。已知H—H、H—O和0=0键的键焓AH分别为436 kJ/tool、463 kJ/mol和495 kJ/mol,下列热化学方程式正确的是(  )。
选项
答案 D
解析 【知识点】化学反应原理

相关内容:标准,状况,气态,分子,化学键,焓变,键焓

猜你喜欢

发表评论
更多 网友评论0 条评论)
暂无评论

访问排行

Copyright © 2012-2014 恰考网 Inc. 保留所有权利。 Powered by tikuer.com

页面耗时0.0354秒, 内存占用1.05 MB, Cache:redis,访问数据库20次