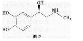
肾上腺素是一种临床上常用于心脏骤停抢救的药物,其结构简式如图2所示。下列关于肾上腺素的叙述错误的是( )。 A.可以和溴水反应 B.可以和氢溴酸反...

作者: tihaiku 人气: - 评论: 0
问题 肾上腺素是一种临床上常用于心脏骤停抢救的药物,其结构简式如图2所示。下列关于肾上腺素的叙述错误的是( )。
选项 A.可以和溴水反应 B.可以和氢溴酸反应 C.可以和浓硫酸与浓硝酸的混合溶液反应 D.可以和银氨溶液发生银镜反应
答案 D
解析 肾上腺素含有酚羟基,能与溴水、浓硫酸和浓硝酸混合溶液发生取代反应,A、C两项正确;含有羟基能与氢溴酸发生卤代反应,8项正确;该肾上腺素不含醛基,不能发生银镜反应,D项错误。

相关内容:肾上腺,床上,常用于,心脏,骤停,药物,结构,简式,如图,2所示,叙述,错误,反应

猜你喜欢

发表评论
更多 网友评论0 条评论)
暂无评论

访问排行

Copyright © 2012-2014 恰考网 Inc. 保留所有权利。 Powered by tikuer.com

页面耗时0.0590秒, 内存占用1.04 MB, Cache:redis,访问数据库20次