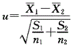
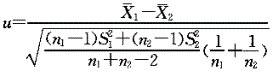
例数均大于100的两样本均数比较的计算公式为A、t=(r-0)/SB、C、D、t=(b-0)/SE、

作者: rantiku 人气: - 评论: 0
问题 例数均大于100的两样本均数比较的计算公式为
选项 A、t=(r-0)/S B、 C、 D、t=(b-0)/S E、
答案 B
解析

猜你喜欢

发表评论
更多 网友评论0 条评论)
暂无评论

访问排行

Copyright © 2012-2014 恰考网 Inc. 保留所有权利。 Powered by tikuer.com

页面耗时0.0451秒, 内存占用1.03 MB, Cache:redis,访问数据库20次