【背景资料】某公司以 PC 方式总承包一大型机电工程,总包单位直接承担全厂机电设备采购及全厂关键设备的安装调试,将其他工程分包给具备相应资质的分包单位承担...

作者: tihaiku 人气: - 评论: 0
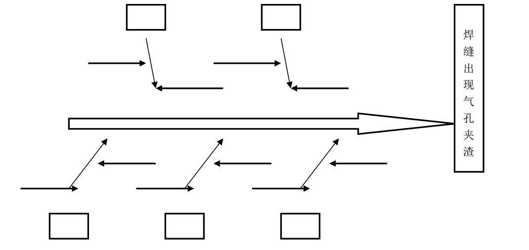
问题 【背景资料】某公司以 PC 方式总承包一大型机电工程,总包单位直接承担全厂机电设备采购及全厂关键设备的安装调试,将其他工程分包给具备相应资质的分包单位承担。施工过程中发生下列事件: 事件一.钢结构制作全部露天作业,任务还未完成时雨季来临,工期紧迫,不能停止施工; 事件二.储油罐露天组对焊接后,经 X 射线检测,发现多处焊缝存在气孔.夹渣等超标缺陷,需返工; 事件三.设备单机无负荷试运转时,发现一台大型排风机制造质量不合格; 事件四.单位工程完工后,由建设单位组织总包单位.设计单位共同进行了质量验收评定并签字。 【问题】 1.事件一中,雨季施工为什么易发生焊接质量问题?焊接前应采取哪些措施? 2.参考样图绘制油罐焊缝出现气孔和夹渣的因果分析图。(注:绘制在答题卡上) 3.事件三中,风机质量不合格主要责任应由谁来承担? 4.指出事件四中,单位工程验收评定的成员构成存在哪些缺陷?
选项
答案
解析 1.雨季空气湿度大、焊条易受潮、焊缝积水或锈蚀。 措施:焊条烘干,焊条保湿 (如保温桶),焊件局部干燥、防雨措施(如防雨棚等),焊缝除锈或清理。 2. 3.应由总包单位负主要责任 理由:①设备是总包单位采购;②设备是总包单位监造;③设备出厂进场由总包单位验收。 4. 验收评定单位缺监理单位,质量监督部门,分包单位。

相关内容:背景,资料,公司,方式,机电工程,总包,单位,全厂,机电设备,采购,关键,设备,调试,工程

猜你喜欢

发表评论
更多 网友评论0 条评论)
暂无评论

访问排行

Copyright © 2012-2014 恰考网 Inc. 保留所有权利。 Powered by tikuer.com

页面耗时0.0318秒, 内存占用1.04 MB, Cache:redis,访问数据库15次