某变压器一次绕组120匝,二次绕组240匝,由此可知,当输出电压要求为380V时,输人电压约为( )。A. 380V B. 190VC. 720V...

作者: rantiku 人气: - 评论: 0
问题 某变压器一次绕组120匝,二次绕组240匝,由此可知,当输出电压要求为380V时,输人电压约为( )。 A. 380V B. 190V C. 720V D. 220V
选项
答案 B
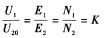
解析 变压器带载时,电压比等于一、二次绕组的匝数比,根据得,120/240 X 380V = 190V。

猜你喜欢

发表评论
更多 网友评论0 条评论)
暂无评论
错误啦!

错误信息

  • 消息: [程序异常] : MISCONF Redis is configured to save RDB snapshots, but it's currently unable to persist to disk. Commands that may modify the data set are disabled, because this instance is configured to report errors during writes if RDB snapshotting fails (stop-writes-on-bgsave-error option). Please check the Redis logs for details about the RDB error.
  • 文件: /twcms/kongphp/cache/cache_redis.class.php
  • 位置: 第 85 行
    <?php echo 'KongPHP, Road to Jane.'; ?>