某液压泵铭牌上标有额定压力为8MPa,额定流量为60L/min,泵的总效率η=0.8,此泵使用在特定的液压系统中,该系统要求泵的工作压力为4MPa,此时该...

作者: rantiku 人气: - 评论: 0
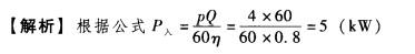
问题 某液压泵铭牌上标有额定压力为8MPa,额定流量为60L/min,泵的总效率η=0.8,此泵使用在特定的液压系统中,该系统要求泵的工作压力为4MPa,此时该泵应选配电机的功率为( )。 A. 10kW B. 7. 5kW C. 5kW D. 2. 5kW
选项
答案 C
解析

猜你喜欢

发表评论
更多 网友评论0 条评论)
暂无评论

访问排行

Copyright © 2012-2014 恰考网 Inc. 保留所有权利。 Powered by tikuer.com

页面耗时0.0447秒, 内存占用1.03 MB, Cache:redis,访问数据库19次