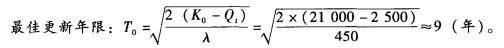
某工厂购置的一台机床,原值21 000元,更新年份的残值为2 500元,若巳知该机床的低劣化值为450元,试计算其最佳更新年限。

作者: rantiku 人气: - 评论: 0
问题 某工厂购置的一台机床,原值21 000元,更新年份的残值为2 500元,若巳知该机床的低劣化值为450元,试计算其最佳更新年限。
选项
答案
解析

猜你喜欢

发表评论
更多 网友评论0 条评论)
暂无评论

访问排行

Copyright © 2012-2014 恰考网 Inc. 保留所有权利。 Powered by tikuer.com

页面耗时0.0400秒, 内存占用1.03 MB, Cache:redis,访问数据库19次