原有一台专用机床,拟进行技术改造。要求改造后设备的经济使用寿命为6年。目前旧设备的净值为20 000元,年利率为10%,残值4 000元。加装靠模装置,一...

作者: rantiku 人气: - 评论: 0
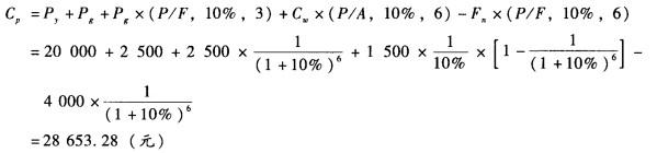
问题 原有一台专用机床,拟进行技术改造。要求改造后设备的经济使用寿命为6年。目前旧设备的净值为20 000元,年利率为10%,残值4 000元。加装靠模装置,一次性投资2 500元,靠模寿命周期为3年,年均维护费用1 500元。则寿命周期费用现值是多少?
选项
答案
解析

猜你喜欢

发表评论
更多 网友评论0 条评论)
暂无评论
错误啦!

错误信息

  • 消息: [程序异常] : MISCONF Redis is configured to save RDB snapshots, but it's currently unable to persist to disk. Commands that may modify the data set are disabled, because this instance is configured to report errors during writes if RDB snapshotting fails (stop-writes-on-bgsave-error option). Please check the Redis logs for details about the RDB error.
  • 文件: /twcms/kongphp/cache/cache_redis.class.php
  • 位置: 第 85 行
    <?php echo 'KongPHP, Road to Jane.'; ?>