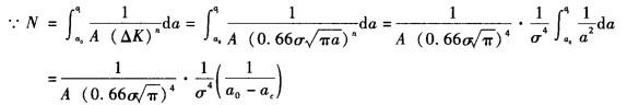
时,相应的寿命为15 000次。根据帕利斯定理,在其他条件不变的情况下,当与裂纹平面垂直的应力增加到σ2 =450MPa时,相应的寿命是多少次?

作者: rantiku 人气: - 评论: 0
问题 时,相应的寿命为15 000次。根据帕利斯定理,在其他条件不变的情况下,当与裂纹平面垂直的应力增加到σ2 =450MPa时,相应的寿命是多少次?
选项
答案
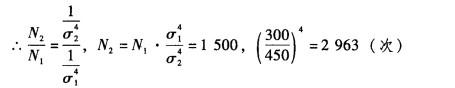
解析 根据帕利斯定理,在其他条件不变的情况下,当与裂纹平面垂直的应力增加到450MPa 时,相应的寿命是2 963次。

猜你喜欢

发表评论
更多 网友评论0 条评论)
暂无评论

访问排行

Copyright © 2012-2014 恰考网 Inc. 保留所有权利。 Powered by tikuer.com

页面耗时0.0497秒, 内存占用1.03 MB, Cache:redis,访问数据库18次