以下说法中正确的是( )。A.磨损强度是实际磨损量与极限磨损量之比B.磨损寿命等于初期、正常、急剧磨损阶段之和C.磨损率是实际磨损量与极限磨损...

作者: rantiku 人气: - 评论: 0
问题 以下说法中正确的是( )。 A.磨损强度是实际磨损量与极限磨损量之比 B.磨损寿命等于初期、正常、急剧磨损阶段之和 C.磨损率是实际磨损量与极限磨损量之比 D.在整个磨损过程中,磨损量与时间成直线关系
选项
答案 C
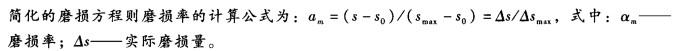
解析 麽损率指零件实际磨损量与极限磨损量之比,如第I阶段忽略不计,按

猜你喜欢

发表评论
更多 网友评论0 条评论)
暂无评论
错误啦!

错误信息

  • 消息: [程序异常] : MISCONF Redis is configured to save RDB snapshots, but it's currently unable to persist to disk. Commands that may modify the data set are disabled, because this instance is configured to report errors during writes if RDB snapshotting fails (stop-writes-on-bgsave-error option). Please check the Redis logs for details about the RDB error.
  • 文件: /twcms/kongphp/cache/cache_redis.class.php
  • 位置: 第 85 行
    <?php echo 'KongPHP, Road to Jane.'; ?>