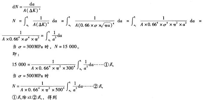
若已知n=4,当与裂纹平面垂直的应力为300MPa时,相应的寿命为15 000次。根据Paris定理,在其他条件不变的情况下,求当与裂纹平面垂直的应力增加...

作者: rantiku 人气: - 评论: 0
问题 若已知n=4,当与裂纹平面垂直的应力为300MPa时,相应的寿命为15 000次。根据Paris定理,在其他条件不变的情况下,求当与裂纹平面垂直的应力增加到500MPa时相
选项
答案
解析 根据Paris定理可知:

猜你喜欢

发表评论
更多 网友评论0 条评论)
暂无评论
错误啦!

错误信息

  • 消息: [程序异常] : MISCONF Redis is configured to save RDB snapshots, but it's currently unable to persist to disk. Commands that may modify the data set are disabled, because this instance is configured to report errors during writes if RDB snapshotting fails (stop-writes-on-bgsave-error option). Please check the Redis logs for details about the RDB error.
  • 文件: /twcms/kongphp/cache/cache_redis.class.php
  • 位置: 第 85 行
    <?php echo 'KongPHP, Road to Jane.'; ?>