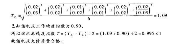
某厂对一台机床进行了大修。其检验结果如下表:同时对加工后的试件进行了检验,确定其工作精度指数为0.9,问该机床大修质量是否合格?

作者: rantiku 人气: - 评论: 0
问题 某厂对一台机床进行了大修。其检验结果如下表: 同时对加工后的试件进行了检验,确定其工作精度指数为0.9,问该机床大修质量是否合格?
选项
答案
解析 该机床几何精度指数为:

猜你喜欢

发表评论
更多 网友评论0 条评论)
暂无评论

访问排行

Copyright © 2012-2014 恰考网 Inc. 保留所有权利。 Powered by tikuer.com

页面耗时0.0441秒, 内存占用1.03 MB, Cache:redis,访问数据库16次