下列公式不正确的是()。A:杜邦恒等式为:净资产收益率=销售利润率*总资产周转率*权益乘数B:费雪方程式可以表述为:实际利率=名义利率-通货膨胀率...

作者: rantiku 人气: - 评论: 0
问题 下列公式不正确的是()。
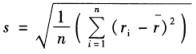
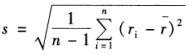
选项 A:杜邦恒等式为:净资产收益率=销售利润率*总资产周转率*权益乘数 B:费雪方程式可以表述为:实际利率=名义利率-通货膨胀率 C:远期利率可以由两个即期利率决定,公式为: D:样本标准差的计算公式为:{图1}
答案 D
解析 D项,样本标准差的计算公式应为:

猜你喜欢

发表评论
更多 网友评论0 条评论)
暂无评论

访问排行

Copyright © 2012-2014 恰考网 Inc. 保留所有权利。 Powered by tikuer.com

页面耗时0.0311秒, 内存占用1.03 MB, Cache:redis,访问数据库19次