下列关于到期收益率影响因素,说法错误的是()。A:票面利率与债券到期收益率呈同方向增减B:债券市场价格与到期收益率呈反方向增减C:债券市场价格与到...

作者: rantiku 人气: - 评论: 0
问题 下列关于到期收益率影响因素,说法错误的是()。
选项 A:票面利率与债券到期收益率呈同方向增减 B:债券市场价格与到期收益率呈反方向增减 C:债券市场价格与到期收益率呈同方向增减 D:在其他因素相同的情况下,固定利率债券比零息债券的到期收益率要高
答案 C
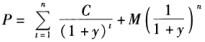
解析 到期收益率一般用y表示,债券市场价格和到期收益率的关系式为:

式中:P表示债券市场价格;C表示每期支付的利息;n表示时期数;M表示债券面值。由公式得出,债券市场价格与到期收益率呈反方向增减。

猜你喜欢

发表评论
更多 网友评论0 条评论)
暂无评论

访问排行

Copyright © 2012-2014 恰考网 Inc. 保留所有权利。 Powered by tikuer.com

页面耗时0.0320秒, 内存占用1.03 MB, Cache:redis,访问数据库19次