某3年期债券的面值为1000元,票面利率为8%,每年付息一次,现在市场收益率为10%,其市场价格为950.25元,则其久期为()。A:2.78年B:3...

作者: rantiku 人气: - 评论: 0
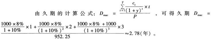
问题 某3年期债券的面值为1000元,票面利率为8%,每年付息一次,现在市场收益率为10%,其市场价格为950.25元,则其久期为()。
选项 A:2.78年 B:3.21年 C:1.95年 D:1.5年
答案 A
解析

猜你喜欢

发表评论
更多 网友评论0 条评论)
暂无评论

访问排行

Copyright © 2012-2014 恰考网 Inc. 保留所有权利。 Powered by tikuer.com

页面耗时0.0336秒, 内存占用1.03 MB, Cache:redis,访问数据库18次