某半年付息一次的债券票面额为1000元,票面利率10%,必要收益率为12%,期限为5年,如果按复利计息、复利贴现,其内在价值为()元。A:926.40...

作者: rantiku 人气: - 评论: 0
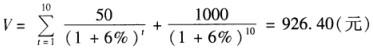
问题 某半年付息一次的债券票面额为1000元,票面利率10%,必要收益率为12%,期限为5年,如果按复利计息、复利贴现,其内在价值为()元。
选项 A:926.40 B:927.90 C:993.47 D:998.52
答案 A
解析 内在价值

猜你喜欢

发表评论
更多 网友评论0 条评论)
暂无评论

访问排行

Copyright © 2012-2014 恰考网 Inc. 保留所有权利。 Powered by tikuer.com

页面耗时0.0268秒, 内存占用1.03 MB, Cache:redis,访问数据库18次