某投资组合的平均收益率为14%,收益率标准差为21%,β值为1.15,若无风险利率为6%,则该投资组合的夏普比率为()。A:0.21B:0.07C...

作者: rantiku 人气: - 评论: 0
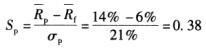
问题 某投资组合的平均收益率为14%,收益率标准差为21%,β值为1.15,若无风险利率为6%,则该投资组合的夏普比率为()。
选项 A:0.21 B:0.07 C:0.13 D:0.38
答案 D
解析 根据投资组合中夏普比率的计算公式,可得:

猜你喜欢

发表评论
更多 网友评论0 条评论)
暂无评论

访问排行

Copyright © 2012-2014 恰考网 Inc. 保留所有权利。 Powered by tikuer.com

页面耗时0.0723秒, 内存占用1.03 MB, Cache:redis,访问数据库18次