假设某基金第一年的收益率为5%,第二年的收益率也是5%,其年几何平均收益率()。A:小于5%B:等于5%C:大于5%D:无法判断

作者: rantiku 人气: - 评论: 0
问题 假设某基金第一年的收益率为5%,第二年的收益率也是5%,其年几何平均收益率()。
选项 A:小于5% B:等于5% C:大于5% D:无法判断
答案 B
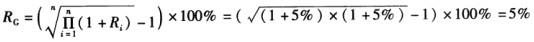
解析 根据计算公式,可知几何平均收益率(RG)为:

猜你喜欢

发表评论
更多 网友评论0 条评论)
暂无评论

访问排行

Copyright © 2012-2014 恰考网 Inc. 保留所有权利。 Powered by tikuer.com

页面耗时0.0319秒, 内存占用1.03 MB, Cache:redis,访问数据库20次